招生就业
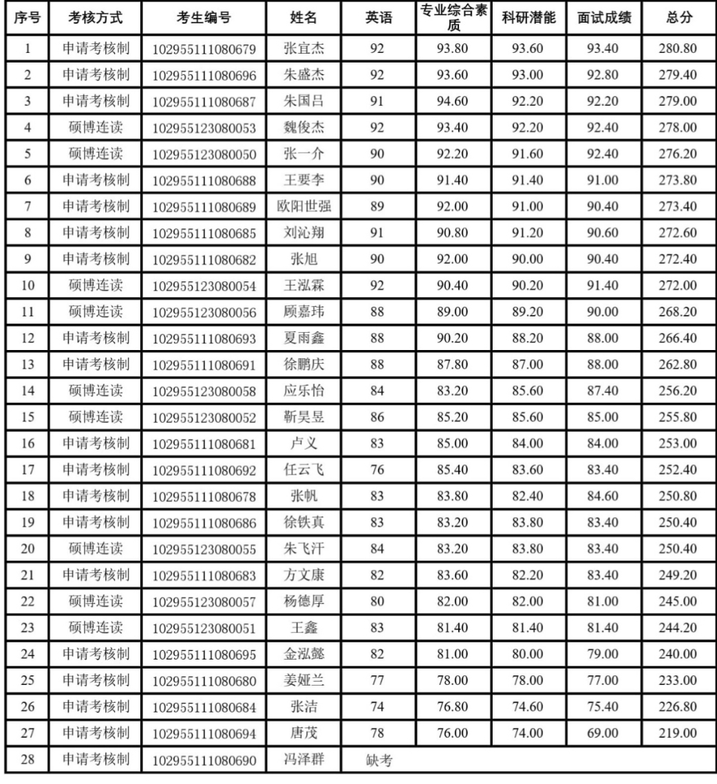
由污污漫 组织的2025年博士面试考核已经结束,现将考核成绩公布如下:
污污漫
2025年1月13日
上一篇:污污漫 2025年博士研究生拟录取名单公示(第一批)
下一篇:污污漫 2025年博士综合考核安排
技术支持:信息化建设管理处
校内设备号:JW190003
版权:污污漫-污污漫官网|禁漫天堂与邪恶漫画在线看 邮编:214122 联系方式:0510-85910562服务邮箱:[email protected]